Redes semánticas en Fernando Pessoa: el caso Jean Seul de Méluret
  • Mente y Cultura
  • Volumen 2, Número 2, Julio-Diciembre 2021
  • Artículo Original
  • DOI: 10.17711/MyC.2021.010

Redes semánticas en Fernando Pessoa: el caso Jean Seul de Méluret

 

Joseline Vega Osornio


“Lo que permanece lo fundan los poetas”.
Friedrich Hölderlin

“Somos cuentos contando cuentos (…)”.
Fernando Pessoa / Ricardo Reis

Introducción

La interfase entre neurociencias y las bellas letras nos permite comenzar a relacionar al cerebro con la creación poética, en particular, con el apoyo de herramientas del análisis computacional de nubes de palabras, de redes semánticas, así como de sentimientos. Este tipo de análisis cuantitativo es valioso tanto para la psicología y la psiquiatría como para la crítica literaria. Herramientas como la librería informática Natural Language Toolkit de Python (NLTK) y la Stanford Log-linear Part-Of-Speech (POS Tagger) pueden ser utilizadas en estos campos.

A la luz del análisis linguïstico-computacional de textos, parece muy cierto lo que ya decía Wittgenstein, que “los límites de mi lenguaje son los límites de mi mundo”. En efecto, cada idioma describe mejor lo que su gente más hace. Las lenguas son representaciones colectivas de las costumbres de la comunidad. En ellas traducen su acervo pasado y presente, real e imaginario. Existe tal diversidad de lenguas como ecologías humanas. Algunos idiomas – como el portugués – describen con mayor exactitud las emociones.

El bi- tri- o multilingüismo deberán ser reconceptualizados a la luz de los descubrimientos de Alexander Huth (2016) sobre cómo anidan las redes semánticas en los humanos en casi todos los dos metros cuadrados de la corteza cerebral de ambos hemisferios. En estos estudios, es indicativo que las palabras se representen cerca de áreas cerebrales relacionadas sensorialmente, lo cual refleja un orden de correspondencias intrínseco. La palabra “canela”, por ejemplo, activa zonas relacionadas con el olor y el sabor; mientras que la palabra “azul” activa zonas de la corteza visual; los verbos activan zonas motoras. Estos datos confirman por su parte lo que el joven Nietzsche afirmaba en sus estudios retóricos sobre el origen metafórico del lenguaje. Quizá por eso Paul Valéry pensaba que “el lenguaje es un segundo sistema nervioso”.

A la luz de los estudios de Huth, en un cerebro multilingüe cada idioma deberá mapear de manera diversa la realidad, creando un sistema semántico complejo. En este artículo presentamos una aproximación neuro-humanística al caso de Fernando Pessoa, poeta-pensador trilingüe, “el Nietzsche aún por descubrir del siglo XX” según las palabras del heredero de la Cátedra Émile Durkheim: Michel Maffesoli (Gómez Mont / Vega, 2017). Pessoa – el poeta portugués por antonomasia del siglo XX – ha sido considerado por críticos como Harold Bloom, uno de los 100 genios poéticos de Occidente junto a Homero, Virgilio, Dante, Milton, Shakespeare y Cervantes (Bloom, 2002).

Para Fernando Pessoa, la multiplicidad fue condición de su obra: diversidad en todo, idiomas, géneros, estilos, temas y firmas. Los heterónimos emanan de la pluma a la vez que el poeta ‘finge’ ser otros, volviéndose cada vez más consciente de la metamorfosis que va de la unidad a la pluralidad (Prado Coelho, 1982). Este nomadismo poético puede convertirse en el modelo de un método para sobrevivir en el siglo XXI. En este viaje ficcional, el poeta viator recorre trayectos no geográficos sino poéticos que pueden constelarse a través de las nubes de palabras y redes semánticas.

Este viaje entre personalidades poéticas lo hace posible gracias a un recurso central: la ironía, la cual, desde diversos ángulos, es un rasgo de la poética de la modernidad poética pero también de la antigüedad poética. La heteronimia es un viaje de ‘fingimiento’ en el sentido etimológico y filológico del término: fingere en latín para referirse al actor y al constructor, derivado del griego ‘εἰρωνεία’, que se utilizaba para referirse al actor de la comedia antigua y que se traduce como ‘disimulo’, o ‘ignorancia fingida’. ‘Εἴρων’ se refería ‘al que disimula’, o ‘finge’, pero también ‘al que dialoga’ Así, por ejemplo, se consideraba el diálogo socrático como una estrategia de ‘ignorancia fingida’ para develar, a través del discurso, un conocimiento más alto (Schoentjes, 2001). Cuando el mundo latino adoptó el término griego en su vocablo de ‘ironia’, desde entonces su significado se restringió al modo de expresión y/o figura retórica mediante la cual se da a entender lo contrario de lo que se enuncia. Cuando Pessoa escribe el verso “O poeta é um fingidor” (“Autopsicografía”, 1930), lo hace pensando justo en el recurso de la ironía, siendo ésta para él un arte superior, como cuando su semi-heterónimo Soares escribe que es por su cualidad de ironía o ‘ignorancia fingida’ que el hombre superior difiere del inferior.

El hombre superior se diferencia del hombre inferior y de sus animales hermanos en la simple cualidad de la ironía. La ironía es el primer indicio de que la conciencia se ha vuelto consciente. Atraviesa dos estadios: el estadio marcado por Sócrates, cuando dijo “solo sé que no sé nada”, y el estadio marcado por Sanches, cuando dijo “ni siquiera sé que no sé nada”. (Pessoa / Soares, 1998)

A través de su obra múltiple y con sus heterónimos, Pessoa se reveló en contra de los dogmas de la época vinculados con el ‘monologismo autoritario’ (Bahktin: 1970). Pessoa afirmó desear llegar a ser “un creador de mitos, que es el misterio más alto al que puede aspirar alguien de la humanidad”. Un poema en francés de 1912 inédito hasta el 2014 titulado “Estrella” reza: “Mi alma se rompió / Me disperso en mí / Un miedo / Me mece, me sacude / No hay rincón donde mi miedo se ancle / A un sueño de olvido”. ([Traducción propia]. Fechable, 1912/1913-1919. Poema inédito hasta 2014). Luego, una cita del Libro del Desasosiego muestra la presencia de la polifonía de la consciencia en el poeta: “Mi alma es una orquesta oculta; no sé que los instrumentos tocan y crujen cuerdas, arpas, timbales y tambores dentro de mí. Solo me conozco como sinfonía”.

El trilingüismo de Pessoa se enmarca en la atmósfera cosmopolita de Lisboa en la que vivió durante las dos primeras décadas del siglo XX; en ella brillaban poetas que él mismo conocía y admiraba como Teixeira de Pascoaes, Camilo Pessanha, Césario Verde y Henrique Rosa (su tío). Fue una época en la que leyó tanto a poetas como a científicos, tanto portugueses, como ingleses y franceses, comprendiendo sus vasos comunicantes. Al mismo tiempo, escribía inspirado por ellos y lo hacía en sus tres lenguas, en ocasiones ejecutando intencionalmente cruzamientos entre ellas, por ejemplo, en poemas en inglés inspirados por Verlaine o poemas en portugués inspirados por Baudelaire y por Rimbaud. Éstas y otras creaciones poéticas demuestran que la lengua francesa y algunos de sus poetas más emblemáticos, fueron una fuente de conocimiento e inspiración en esta primera etapa ‘filosófica’ y ‘pre-heteronímica’, anterior a los heterónimos modernistas de Orpheu (1915) que otra etapa creativa, colectiva y pública: ‘heteronímica’ y ‘neopagana’.

Parece que Pessoa no volvió a escribir en francés sino unos quince años después. Falleció el 30 de noviembre de 1935, a los 47 años, justo en el Hospital São Luís dos franceses, muy cerca de su casa que hoy alberga la ‘Casa Museu Fernando Pessoa’. Un cólico hepático según el acta de defunción.

La constelación del hipertexto pessoano en tres lenguas

Fernando António Nogueira Pessôa – cuyo apellido con acento circunflejo en portugués significa ‘persona’– nació en Lisboa en 18881 y murió en la misma ciudad en 1935, aunque vivió por una década – entre los 6 y los 16 años – en una colonia inglesa, en Sudáfrica. Es notable que Pessoa escribió poemas en ingles y francés en su juventud antes de regresar de lleno a su lengua madre a través de sus heterónimos consagrados en las páginas de la revista Orpheu (1915). En años posteriores, incluso décadas después, Pessoa no dejó de escribir en sus otros dos idiomas, aunque nunca con tanta intensidad como en su primera juventud.

Este ‘extraño extranjero’ (Bréchon, 1996) dejó un ‘baúl repleto de gente’ (Tabucchi, 1990), casi treinta mil páginas de poesía y prosa escritas a mano o mecanografiadas en portugués, inglés y francés, resguardadas hoy en la Biblioteca Nacional de Portugal. Los contenidos del baúl – conocido entre los especialistas como el ‘espólio pessoano’ (herencia, botín, patrimonio) constituye un tesoro de la literatura universal, con casi 30 mil páginas escritas a mano y mecanografiadas de poemas, textos o publicaciones de su interés. De éstas se han editado a la fecha unas quince mil. Muchos son los géneros y estilos de prosas y versos, en portugués, inglés y francés, firmadas por el poeta ortónimo o alguno de sus poetas ficticios y/o heterónimos. Se trata de toda una literatura que incluye tanto ensayos científicos como políticos y estéticos, tanto poemas en verso como en prosa, tanto dramas como cuentos, tanto traducciones como cartas y muchas notas y apuntes sobre artes, ciencias y humanidades, incluidos saberes esotéricos como el hermetismo, la kabbalah, la astrología, la teosofía, el ocultismo. En las últimas décadas, diversos investigadores han trabajado en el archivo, haciéndonos descubrir, cada vez más creaciones poéticas y ensayísticas que por alguna razón el poeta guardó sigilosamente en el baúl.

Navegando entre idiomas y personalidades poéticas, este fingir poético se convirtió en una forma de autoexploración psicológica y cuestionamiento trascendental, misma que puede diferenciarse en tres etapas en la vida del poeta. De la primera, se sabe que emergió una obra filosófica (1906/1907 – 1915/1916); de la segunda, un neopaganismo trascendental (Orpheu,1915); y de la tercera, un gnosticismo espiritual (1920 – 1935) con la cúspide de Mensagem (1934). El periodo filosófico (1906/1907 – 1915/1916) aborda en términos ontológicos, metafísicos y teológicos, las grandes cuestiones tradicionales de la existencia y de los atributos de Dios, de razón y de fe, del espíritu y de la materia, de lo absoluto y de lo relativo, de religión y de moral, así como temas neuropsicológicos y psiquiátricos. El periodo neopagano (1915/1916 – 1918/1919), corresponde al ‘periodo heteronímico’ propiamente dicho, los poetas de la generación de Orpheu (1915): Alberto Caeiro, Álvaro de Campos, Ricardo Reis, además del filósofo neopagano António Mora, proyecto cuya tentativa consiste en restaurar la religión politeísta según el modelo helénico. El periodo gnóstico (1920 –1935) es el periodo más extenso dentro de esta clasificación, caracterizado por su interés cada vez más creciente por las vías ocultistas y esotéricas, así como por el camino de la Gnosis. En este artículo concentraremos en el primer periodo, el menos conocido del joven poeta.

En esa primera década de regreso en Lisboa, el poeta cultivó su ‘don de lenguas’ (glosolalia), leyendo a los grandes poetas, vivos y muertos, nacionales y extranjeros. Shakespeare, Milton, Byron, Keats, Shelley, Tennyson y o Wordsworth. Su relación con Francia –su lengua, cultura y poesía– fue distinta, tenía que ver con un vínculo más íntimo, que luego se intensificó durante su tercera adolescencia de regreso en Portugal (1905), en sincronía con la caída de la monarquía y la fiebre urbana europea amplificada por el Simbolismo y el Decadentismo de Fin de Siglo que inspiró varias páginas de Orpheu (1915). Después de esto, la francofilia de Pessoa entró en un estado de latencia y sólo remergió mucho tiempo después hacia el final de su vida (1930’s) (Ferrari & Quillier, 2014).

Cuando Pessoa asistió al Curso Superior de Letras en Lisboa (1905 – 1907), continuó con sus estudios de francés, redactando y guardando en el baúl textos críticos para sus cursos sobre poetas como Molière, Alfred de Vigny, Chateaubriand o Victor Hugo. Por alguna razón, voluntaria o no, Pessoa abandonó la Universidad durante la huelga estudiantil. Se sabe que tuvo planes de seguir estudiando en Inglaterra con una beca a la cual finalmente no pudo aplicar por no ser elegible. Al final, lo cierto, es que decidió quedarse en Lisboa.

Una genealogía de creaciones poéticas en francés

Pre-heterónimos en francés

Desde muy joven, Pessoa fue un poeta trilingüe. Desde los doce o trece años (1900 – 1901), produjo prosas y versos inventando firmas ficticias, lo que sucedió antes de regresar de lleno a su lengua materna cuando éste volvió a los 18 años a su país (1905), lugar donde surgió una ‘discusión en familia’ que comenzó a revelarse desde 1912 y que se consagró en las páginas de la revista Orpheu (1915), órgano del modernismo lusitano.

Pizarro y Patricio Ferrari han documentado la existencia de hasta 136 poetas ficticios en un sistema polifónico que el propio poeta denominó una ‘coterie inexistente’ (2013). Algunos son sólo firmas sin biografía, pero otros, son personajes poetas con una producción en verso y/o en prosa con una alta misión civilizadora. Aunque fue hasta el año de 1928 que Pessoa se refirió al fenómeno heteronímico en su obra (Pizarro, 2012), el poeta comenzó a inventar poetas ficticios en francés desde 1900, es decir, a los doce años.

Desde su origen, los ‘pre-heterónimos’ en francés de Pessoa estuvieron asociados a proyectos no netamente poéticos, sino satíricos. Después del ‘Chevalier de Pas’ (1895), ‘pro-heterónimo’ en francés con el que intercambiaba cartas a la muerte de su padre – según el calendario de cumpleaños de su mamá – fenómeno que la crítica psicoanalítica ha interpretado como el ‘fantasma del padre’ (Poulichet, 1998) como en Hamlet, nació ‘Guillaume Loutil’, primer ‘pre- heterónimo’ francófono de Pessoa, autor de dos listas satíricas: “Catéchisme du soldat” y “États des ouvrages faits”. Pizarro y Ferrari (2013) reconocen en “Catéchisme du soldat français” (1820) de Constant Taillard, el catecismo fuente de ‘Loutil’. Por otra parte, en un volumen de 1811 titulado “Le farceur comme il y en a peu...” se encuentra una lista de obras de Pierre Lutille, escrita por un ‘ami de la gaité’ que integraba una ‘bibliothèque sentimentale, joyeuse, grivoise et amusante’. Un segundo ‘pre-heterónimo’ francófono nació en 1907, cuando Pessoa firmó bajo el nombre de ‘Andrèce Augradi’, un poema en francés que lleva por título “Rondeau” (1900). Por debajo de su firma autógrafa añadió la palabra ‘trouvère’. El poema consta de dos estrofas y un verso que se repite. De esta nota se infiere que Pessoa relacionó a este ‘pre-heterónimo’ con la tradición poética de los trovadores. Éste se encuentra en un cuaderno que lleva el nombre de ‘Charles R. Anon’, uno de los primeros pre-heterónimos en inglés de Pessoa. En ‘marginalia’ aparece la siguiente nota en inglés refiriéndose a su profesor de francés de origen irlandés: “Hardress O’Grady is the name”. El poema se encuentra seguido de la anotación: “Les amateurs de l’inutile” y “La penultième est mort”. Quillier relaciona “Rondeau” con otro poema satírico ortónimo, “Echos” (fechable, 1907) que se refiere a un profesor grandilocuente de francés llamado ‘Appell’. En un cuaderno de 1907 – 1908 en el que se encuentran poemas de Alexander Search, aparece el que podría ser un tercer ‘pre-heterónimo’ en francés. ‘Néant’ – que en francés quiere decir ‘Nada’ – es el nombre que recibe el autor del prefacio de un proyecto de sátiras: “/Peints par eux mêmes/ morceaux choisis de MM. Les littératures d’aujourd’hui. Préface par le Néant”. En el mismo cuaderno se lee la nota: “1908 0 – ‘tis another year / another year has gone and 0 done”. La lista contiene títulos de otras sátiras en francés con notas en inglés.

Como cuarto ‘pre-heterónimo’ en francés aparece Jean Seul de Méluret (1908).

Tardó algún tiempo en llegar Álvaro de Campos (1914), pero convertido al portugués, para denunciar a los ‘mandarines’ de Europa, entre ellos varios franceses. El binomio ‘Seul / Campos’ delinea una continuidad en el interés de su creador por la sátira y sus recursos puestos en acción contra Francia, toda vez que el primero debió morir para dar nacimiento al segundo. Tal resistencia poética resulta descifrable desde la teoría ‘estética no-aristotélica’ del propio Campos (Athena, 1924), una ‘poética de la fuerza’ y no ‘de la belleza,’ de donde deberá surgir el nuevo arte, como el arte futurista. Así es como estos poetas ‘Seul / Campos’ denuncian crímenes que tienen lugar en Francia y/o en París aspirando al ideal rousseauniano de escribir para la defensa de la Humanidad en su lucha contra el Hombre.

Todavía en 1916, después del ‘día triunfal’ en el que nacimiento mítico de Campos junto a Caeiro y Reis, Pessoa inventó a ‘Claude Pasteur’. El nombre de este autor ficticio recuerda a dos de los más grandes científicos franceses. Su tarea consiste en traducir del portugués al francés el proyecto que lleva por título “Cadernos de Reconstrução Pagã”, dirigido por el heterónimo filósofo António Mora, que sería editado por ‘Cosmópolis’, una agencia editorial anterior a la empresa ‘Olisipo’, que debía editar esta obra en portugués, inglés y francés. Otros proyectos de traducción de Claude Pasteur eran las odas de Álvaro de Campos (Arco do Triumpho), el Livro do Desassocego (de Vicente Guedes), “O Marinheiro” (‘drama estático en un cuadro’ ortónimo) y algunos libros de Mário Sá-Carneiro.

Esta antología de ‘pre-heterónimos’ en francés demuestra la genealogía de un estilo satírico que Pessoa cultivó en francés desde muy temprano, en el albor del nuevo siglo, adquiriendo formas cada vez más elaboradas, tal y como sucedió primero con la poética de Jean Seul de Méluret y, tiempo después, con la de Álvaro de Campos.

Las sátiras de Jean Seul de Méluret en The Transformation Book

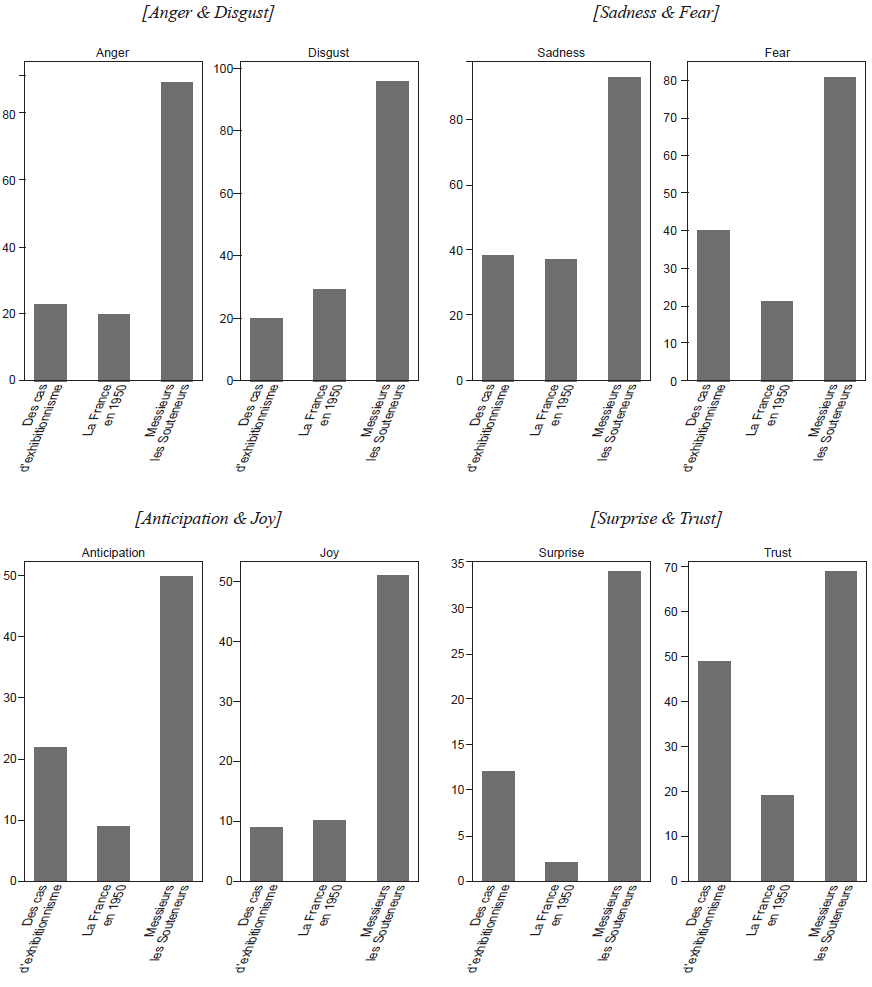
Jean Seul de Méluret es personificado en los manuscritos de Pessoa como un aristócrata conservador radicado en Lisboa, asignado a la tarea de escribir poemas y otros textos de carácter satírico. Aunque Pessoa asignó a Seul la tarea de poeta, no firmó ninguno de los poemas en francés. Hacia 1908, tres son los proyectos satíricos más importantes que se le atribuyen al pre-heterónimo francés: “Des cas d’exhibitionnisme”; “La France en 1950”; y “Messieurs les Souteneurs” que forman parte de una obra colectiva que Pessoa dejó en el baúl y sin considerarla en su edad adulta entre sus planes de edición: The Transformation Book. No existe, en nuestro saber, una edición íntegra publicada en Portugal. La edición neoyorkina de Nuno Ribeiro y Cláudia Souza (2014) presenta al público anglófono (la editorial está en Nueva York), sigue el proyecto de una edición tal y como la concibió Pessoa en su periodo ‘pre-heteronímico’, con textos y poemas en tres lenguas y a cuatro voces. Pessoa concibió The Transformation Book para cumplir con una alta misión civilizatoria para Europa. Fue Teresa Rita Lopes quien publicó por primera vez los trabajos de Jean Seul de Méluret y de otros ‘pre-heterónimos’ en Pessoa por Conhecer (1990). Luego Jerónimo Pizarro y Rita Patrício editaron las Obras de Jean Seul de Méluret (2006). Ellos afirman que Jean Seul es justamente el ‘pre-heterónimo’ con el que Pessoa se presentó a un público francófono, tratando autores y fenómenos “vincadamente franceses ou associados com frequência à França” (Ibid).

Jean Seul hace explícita su ‘francofobia’ ante la influencia de la cultura extranjera. A través de él, Pessoa creó una de las sátiras más provocadoras contra Francia jamás escrita. Es en el contexto de The Transformation Book que Pessoa asigna al francés la tarea satírica de denunciar la influencia negativa de Francia sobre la conservadora sociedad portuguesa, una cultura ávidamente admirada y consumida entre los círculos intelectuales y artísticos en la capital lusitana en aquellos tiempos. Sus sátiras ponen de relieve la crítica que desde muy joven el poeta fue construyendo frente a la posibilidad de que Portugal adoptara los mismos modelos, políticos y culturales, del país galo. Años después, el poeta ortónimo formulará esta crítica en términos teóricos, históricos y literarios. Cuando Pessoa inventó a Jean Seul en 1908, ya había empezado a escribir esbozos de sus proyectos un año antes, creando también poemas y textos ensayísticos firmados por Charles Robert Anon y otros pre-heterónimos de The Transformation Book: Alexander y Charles Search, Thomas Crosse y Pantelão. Ésta fue una época de mucha creatividad en la que el poeta planeó muchos títulos para su imprenta. The Transformation Book fue concebido como un proyecto cosmopolita que llegaba a paralizar el genio creativo del poeta:

“Besides my patriotic projects –writing of P[ortuguese] Reg[icide]- to provoke a revolution here, writing of Portuguese pamphlets, editing of older national literary works, creation of a magazine, of a scientific review, etc.-other plans consuming me with the necessity of being soon carried out- Jean Seul projects, critique of Binet-Sanglé, etc.- combine to produce an excess of impulse that paralyses my will. The suffering that this produces I know not if it can be described as on this side of insanity”.(Pessoa, 1966)

Otros títulos encomendados a Jean Seul serán: “Sobre a extensão do voto a todos os vertebrados”; “O Masculinismo o sobre a necessidade de crear lupanares masculinos”; “A Oligarchia das Bestas”; “Alfonso VII”; y en francés: “Lettre à Mons[ieur] Émile Faguet”; “Une nouvelle école de peinture (re[garding] Picabia’s pictures)”; y “Appel aux socialistes: Les Insignificants. Appendix à la “Dég[énérescence] de Max Nordau”. Pessoa incluyó dos panfletos con título en inglés para Jean Seul : “Necessity of D[eath] Penalty” y “The folly of W[omen]’s Right”. Otros proyectos fueron: “Catalogue de l’oeuvre philosophique, scientifique, et poétique de Sar Pelisé”; “Peints par eux-mêmes morceau choisis de M.M. [messieurs] les littérateurs d’aujourd’hui. Préface par le Néant, Recueil des belles pensées des littérateurs français modernes”. Años después, en el proyecto de “La France en 1950” se sustituirá el año de 1950 por el año 2000 y la firma de Jean Seul por la de un periodista japonés. En esta sátira en particular, Seul critica la Degeneración de la cultura y las artes en Francia y su influencia negativa sobre Portugal.

En The Transformation Book, estas temáticas o ‘mitemas’ aparecen como ‘enfermedades’ que han afectado a la sociedad que son tratadas bajo diversas firmas, géneros e idiomas, como los ensayos y poemas en inglés de Alexander Search, las visiones distópicas en portugués de Pantelão y las traducciones al inglés de Charles James Search.

La carpeta 15 del acervo de Fernando Pessoa contiene la mayoría de las sátiras de Seul y la prosa de Alexander Search. Ambas catalogadas como Filosofía, sus obras exploran interfases con la Psicología en temas como la Degeneración, la Decadencia, y la Locura. Realizamos el análisis computacional de la transcripción de los fragmentos de las sátiras de Jean Seul de Méluret y presentamos los resultados en la sección de anexos.

Intertextos: Escritos sobre genio y locura

Las sátiras de Jean Seul contienen indicios de algunas fuentes del poeta, bibliografía oficial de la psicología y de la psiquiatría de la época, las cuales fueron determinantes en su formación como autodidacta. Mención aparte requieren sus intertextos con los trabajos de Lombroso y Nordau. En sus diarios, Pessoa dejó testimonio de que leyó a estos dos médicos entre 1906 y 1907. No es casualidad que las producciones poéticas de Pessoa de este periodo traten sobre temas como la locura, el genio, la criminalidad y la degeneración.

Cuando Pessoa regresó a su tierra natal, estudió de forma autodidacta no sólo las bellas letras, sino la neurología, la psicología y la psiquiatría de la época. Su biblioteca personal contiene muchos de estos estudios, escritos en francés y/o editados en París, los cuales el joven Pessoa leyó, escribiendo amplias notas sobre estas lecturas. Estas notas que han sido cuidadosamente editadas por Jerónimo Pizarro, un alma que ha dedicado muchas horas a descifrar los manuscritos. Pizarro transcribió muchas páginas de notas y proyectos al respecto, incluyendo un “Ensayo sobre la degeneración” en la edición crítica de los Escritos sobre genio y locura (2006).

En esas páginas el poeta confiesa: “El genio es la mayor maldición con la cual Dios puede bendecir a un hombre”. El vínculo entre genio, locura y degeneración interesó a Pessoa desde (1907), buscando respuestas sobre su propio caso – clínico y poético. Su preocupación por heredar un tipo de locura familiar se muestra en el diseño de árboles genealógicos: demencia por parte de su abuela paterna; tuberculosis por parte de su padre, hermano y tío paterno, temperamento nervioso por parte de su tía materna; equilibrio superior (su madre) (Pizarro, 2007).

Según los Escritos sobre genio y locura (2006), todos los mecanismos cerebrales son procesos de excitación e inhibición, modelo biológico y neuropsicológico de gran actualidad. Pessoa leyó por igual a Du Bois-Reymond y Morel, como a Grasset y a Feré; a Lombroso y Nordau como a Charcot y a Freud; a Bergson y a Janet, como a Darwin y a Spencer, incluso a Einstein y a Poincaré. Para el conocimiento de su época estaba muy bien informado y recibía mes a mes publicaciones extranjeras como “Scientific American”. Este conocimiento lo llevo a afirmar hacia el final de su vida: “Vengo como mensajero de la Consciencia” (bajo la voz del semi-heterónimo Bernardo Soares).

Las lecturas científicas y pseudocientíficas de Pessoa también le sirvieron de inspiración para muchas de sus creaciones poéticas y ensayísticas. Por ejemplo, para el cuento en inglés “The Door” – firmado por su pre-heterónimo en inglés Alexander Search – sobre un caso de monomanía descrito por Grasset y Feré; o para la sátira en francés “El Caso del Exhibicionismo” – firmada por Jean Seul de Méluret – sobre la psicopatología sexual descrita por Krafft-Ebing y Lombroso.

La Dégénérescence (1892) de Max Nordau fue un diagnóstico desde una visión naturalista y racionalista, en donde la verdad científica era la base de la moralidad socialmente útil. Nordau consideraba – al igual que Morel – que la Degeneración era hereditaria y que tenía como causa orgánica el estado de fatiga producido por la sobreexcitación nerviosa de la vida moderna. Para esta teoría, la vida urbana producía centros del cerebro deteriorados, carentes de las capacidades de la inteligencia como la atención y la disciplina. En la clasificación de Nordau, sobresalen los degenerados superiores. Para Nordau, la inmoralidad y el pesimismo de los poetas era también producto de una enfermedad física. Las tendencias estéticas del ‘Fin-du-siècle’ – Simbolismo y el Decadentismo, por ejemplo- representaban para Nordau “un retroceso, convulsiones y espasmos de un estado de fatiga física y mental”. (Nordau, 1990).

La poética meluretiana de Álvaro de Campos

En las sátiras en francés de Jean Seul aparecen intertextos con la poesía y prosa de Álvaro de Campos en portugués. ¿Podría ser la poética Campos una evolución de la de Jean Seul? Antes que Campos, Jean Seul y otros autores de The Transformation Book anuncian a sus lectores los riesgos de una sociedad que se encamina por una ruta falsa. En Ultimatum(Portugal Futurista, 1917), Campos expresa el malestar generalizado frente a las decisiones políticas que estaban orillado al continente hacia la guerra. La misión poética del ‘pre-heterónimo’ consiste en defender a la ‘humanidad’ del ‘hombre’, mediante el recurso de una poética que Campos denominará ‘no-aristotélica’. Ambos escriben como visionarios del fin de una época cuyo arte no busca el goce de la belleza, sino la experiencia de choque con una fuerza psíquica. A nivel estilístico, es evidente la similitud en el tono panfletario y el uso de figuras retóricas para expresar su inconformidad ante los hechos. Este manejo del lenguaje permite plantear que en los dos poetas subyace una ‘fobia’ ante la influencia cultural y política de Francia, denunciando los males que azotan tanto al país lusitano como al galo. Los dos reconocen la enfermedad del espíritu y la urgencia de recuperar la salud perdida. Ellos recurren a una ‘poética del exceso’ para aniquilar de una vez y para siempre la peste espiritual que se encuentra al acecho en tierras lusitanas y europeas. Similar a la retórica futurista de Campos, el tono apocalíptico de Jean Seul ataca a un sistema que debe morir por un fin más alto. Para salvar a la humanidad, es necesario un descenso para renacer como el Ave Fénix.

En este punto se debe subrayar la continuidad cronológica entre Jean Seul y Campos. Siete años separan sus primeros esbozos (1907 – 1914), además de que el primero dejó de escribir justo en el año de la revelación del segundo (1914), poco antes de la publicación en Orpheu (1915) de la “Oda Triunfal” que coincide con el avance de la Primera Guerra Mundial. Cuando Pessoa escribió los textos de Jean Seul entre 1907 y 1914, tenía de 19 a 26 años, etapa de transición del poeta adolescente al poeta maduro. Méluret lanza, junto con sus compañeros de The Transformation Book, una batalla contra la Decadencia en una etapa de explosión creativa anterior al ‘día triunfal’. En efecto, cuando Pessoa dejó de escribir en nombre de Jean Seul nació Campos, para intervenir públicamente en la vida intelectual de Portugal a través de las páginas de la revista. Los primeros esbozos de Jean Seul anteceden en una década al “Ultimatum” de Campos (Portugal Futurista, 1917). Campos como Jean Seul, persuade al lector de la agonía de Europa y de sus ‘mandarines’. Mientras que éste advierte a sus lectores sobre los trastornos producidos por la Degeneración, Campos desea destruir todo lo anterior para instaurar un nuevo orden. Su ‘poética del exceso’ parece dar continuidad, incluso refinar, la ‘poética escatológica’ del periodista satírico con su poesía vanguardista llena de imágenes obscenas y tonos elevados: “Ser mi cuerpo la mujer todas las mujeres / Que fueron violadas, asesinadas, heridas, rasgadas por los piratas!” (Oda Marítima). Es muy probable que el tono discursivo más elevado de Pessoa se encuentre en las sátiras de Méluret, pero también en la poesía de Álvaro de Campos. Es verdad, que el ingeniero de Tavira tiene una visión mucho más vanguardista que Jean Seul, pero eso no impide reconocer en las sátiras méluretianas gérmenes de su poética.

Últimas consideraciones

El semi-heterónimo de Fernando Pessoa, Bernardo Soares, a finales de los años 20, dice haber encontrado un escrito en francés de hace quince años, sintiendo que ha perdido la fluidez poética en esa lengua, al grado de sentirse ajeno a aceptar su autoría. ¿Qué fue entonces del poeta francófono que había escrito unos doscientos poemas o fragmentos en francés, ya desaparecido a esa altura? ¿Cuál fue el destino del creador del primer proto-heterónimo en francés, el ‘Chevalier de Pá’, ‘fantasma del padre’, nombre que mutó al de ‘caballero de los pasos’ o ‘caballero de la nada’, ‘Chevalier de Pas’? ¿Qué fue del joven poeta que escribió por al menos una década poesía en francés desde su desembarcó en Portugal y que retomó esta actividad sólo hasta los últimos años de su vida?

Como escribió Schlegel, “el genio es una colectividad interior”, “una comunidad interna”. El genio romántico de Pessoa creó su ‘heteronimismo’, una pandilla ficticia, una ‘coterie inexistente’ (Pessoa, 1935), encontrando en ella la gran salud que la literatura puede aportar a un espíritu genial (Deleuze, 1993).

Así como Pessoa fue un ávido lector en francés, también escribió en el idioma galo, tanto prosa como verso, sobre todo durante la primera década de regreso al hogar lusitano, aunque retomó esta actividad hacia los últimos años de su vida. Por cuestiones de espacio, aquí nos hemos dedicado a presentar la investigación relacionada con su producción satírica y ‘pre-heteronímica’ en francés.

Durante el lock-down del Covid-19 (2020), el Centro de Neurohumanidades, dirigido por el Dr. Francisco Gómez-Mont Ávalos Lévy, colaboró con el Doctor Adrián Pastor López Monroy y el Licenciado Alfredo Elias (CIMAT) para el análisis computacional de la traducción y selección de textos de Richard Zenith de las 130,000 palabras del “Libro del Desasosiego” de Bernardo Soares. Así también, con la Maestra Joseline Vega, quien desarrolló el análisis semiótico de las sátiras de Jean Seul de Méluret y de la poesía ortónima en francés de Pessoa bajo la asesoría de la Dra. María Elena Isibasi en la Facultad de Filosofía y Letras de la UNAM.

El principal hallazgo del análisis computacional de las redes semánticas obtenidas al analizar las sátiras de Jean Seul de Méluret el Libro del Desasosiego y otros corpus pessoanos con métodos convencionales de la lingüística computacional, es que las redes semánticas son de difícil interpretación. Digamos que hay poca señal y mucho ruido. Por citar un caso concreto en el Libro del Desasosiego: más de mil palabras – con sus frecuencias respectivas – implican negación, lo que confunde a las redes semánticas construidas con el método de “Statistical Neighboorhood Embedding”. Sería necesario hacer una corrección de frases como “no soy feliz” que sería mejor sustituir por “soy infeliz”. El mismo problema representa el uso frecuente uso de ironías y oxímorones. Estamos frente al núcleo de la poética del poeta-pensador, para quien la ironía era el arte superior y el oxímoron su figura retórica más recurrida (Jakobson, 2007). No obstante, ante las redes semánticas de este poema en prosa comenzamos a detectar ciertas asociaciones estadísticas interesantes respecto a la forma que fueron combinadas las palabras.

Pessoa es de interés para las Neurohumanidades no sólo por su cerebro trilingüe, sino por ser un importante teórico de la imaginación y de la ensoñación. “Nunca he hecho nada sino soñar”; “duéleme la imaginación no sé cómo, más es ella que duele”; “Siempre he sido un soñador irónico”; “Sólo una extrema pobreza de la imaginación justifica el tener que viajar para sentir”; “Puedo imaginarme todo porque no soy nada”. La identidad es para Pessoa “un acto de imaginación”, un brillo momentáneo, lo que nos lleva a pensar en el sistema neuronal –recientemente descrito por las neurociencias – relacionado con las actividades intrínsecas y espontáneas, un primordio de la creatividad, incluyendo los procesos cognitivos de creación de identidad: “Somos cuentos contando cuentos (…)” La frase concluye: “nada”.

En relación con la imaginación se ha descrito un nuevo sistema neuronal relacionado con actividades intrínsecas y espontáneas, con la imaginación y la creatividad, con los procesos cognitivos de creación de identidad. Este sistema o red cerebral de la imaginación y la creatividad recibe diversos nombres. En inglés “Default Mode Network”; en México, José Luis Díaz le ha bautizado como la red basal; en España, a falta de creatividad de términos científicos traducen el nombre del inglés, “red por defecto”. El término se refiere más a la ingeniería, aunque podría connotar una carga semántica negativa, implicando el hecho de que la imaginación sea un defecto, el estereotipo de ésta como “la loca de la casa”. En español convendría adoptar el nombre que sugiere José Luis Díaz de “red basal” que implica el estado de reposo del sistema cerebral. Si algo nunca estuvo en reposo fue justamente la pluma de Pessoa de la que emanan sus heterónimos en tres idiomas.

Algún día se podrá llegar a mapear las redes semánticas de las obras completas de Fernando Pessoa en los tres idiomas y en sus 136 autores ficticios. Se podrá visualizar con estudios de neuroimagen cómo sus prosas y versos anidan en la corteza cerebral, por ejemplo, de estudiant@s de Letras de la Facultad de Letras de la UNAM y /o de la Universidad de Lisboa. Para las Neurohumanidades es de mayor interés estudiar a una misma persona varias ocasiones que estudiar múltiples sujetos una sola vez.

Hemos visto que la inquietud temprana del poeta por el género satírico vinculado con el conocimiento de la lengua francesa se puede rastrear desde los primeros periódicos ficticios (1900 – 1901) conservados por el poeta. En esta genealogía aparecieron nombres cargados de ironía como Guillaume Loutil (1901), Andrèce Augradi (1907), Néant (1908) y Jean Seul de Méluret (1908). Estos poetas evidencian de una manera u otra, “la era de los proxenetas, chulos, pederastas, rameras, exhibicionistas y ‘voyeurs’, que vemos blasonado en películas, revistas, periódicos, novelas y en el atletismo de políticos y de millonarios playboy” (Jennings, 2018). Al respecto, vale la pena reflexionar sobre la actualidad del pronóstico apocalíptico de la Degeneración tanto de Jean Seul de Méluret como de Álvaro de Campos, mismo que podría ser valorado a la luz de la fenomenología social del heredero de la Cátedra Émile Durkheim, Michel Maffesoli, a quien hemos citado al principio de este artículo y con quisieramos concluir.

Para este alumno de Gilbert Durand, Pessoa es “el Nietzsche aún no descubierto del siglo XX”. Según su maestro, la obra heteronímica anuncia la urgencia de la alteridad y el fin del mito del Inidividuo, lo que equivale al fin del mundo moderno. Para Maffesoli, Pessoa es una antena de la raza como diría Ezra Pound. Un poeta adelantado a su tiempo.

Los signos sociales y culturales del paso de una sociedad ‘prometeica’ a una ‘dionisíaca’ como los que denuncia Jean Seul no son tan distantes de los que analiza Maffesoli a través de la sociología del imaginario. Según este pensador de la Sorbona, épocas como el Fin de Siglo o la nuestra – llamada provisionalmente postmodernidad – , han sido obnuladas por la sombra de Dionisos o la parte del Diablo. En sus artículos escritos durante el confinamiento del COVID-19, Maffesoli recuerda cómo la epidemia de la peste antonina marcó el inicio de la Decadencia en Roma con sus millones de muertos en 190 d.C.; y cómo la peste negra terminó con la Edad Media para que de sus cenizas resurgiera el Fénix del post-medievo, el Renacimiento, un término que llegó en retrospectiva hasta el siglo XIX. Maffesoli se pregunta si esta crisis actual (sanitaria, política, económica, psicológica, etc.), significa acaso la muerte real y/o simbólica de una sociedad que verá nacer otra diferente. En su opinión, la actual crisis en Francia y en otros tantos países influenciados por sus modelos políticos y culturales, forma parte de los signos inminentes de un duelo de frente al fin de un sistema cuyos valores son insostenibles desde hace mucho tiempo.


1   El año de 1888 vió nacer a varios poetas modernistas como T.S. Eliot, Giuseppe Ungaretti, Ramón Lopez Velarde. También fue el año de invención del gramófono, primer sistema de grabación y reproducción de sonido en un disco plano.

 

BIBLIOGRAFÍA

Pessoa, F. (1997). A língua portuguesa, Ed. Luísa Medeiros. Lisboa: Assírio & Alvim.

______ (2013). Apreciações literárias de Fernando Pessoa. Ed. Pauly Ellen Bothe. Lisboa: Imprensa Nacional Casa da Moeda.

______ (1937). Carta de Fernando Pessoa a Adolfo Casais Monteiro - 13/01/1935. Presença, 49. Coimbra. Disponible en http://arquivopessoa.net/textos/3007

______ (2009). Diarios (Tr. Juan José Álvarez Galán). Madrid: Gadir.

______ (2003). Escritos Autobiográficos, Automáticos e de Reflexão Pessoal, Ed. Richard Zenith. Lisboa: Assírio e Alvim.

______ (2006). Escritos sobre Génio e Loucura, Ed. Jerónimo Pizarro. Lisboa: Imprensa Nacional-Casa da Moeda.

______ (2013). Eu sou uma antologia: 136 autores fictícios, Ed. J. Pizarro & Patricio Ferrari. Lisboa: Tinta-da-China.

______ (2013). Libro del desasosiego. Barcelona: El Acantilado. Ed. Richard Zenith.

______ (2017). Livro do desassossego. Lisboa: Tinta da China. Ed. Jerónimo Pizarro.

______ (2006). Obras de Jean Seul de Méluret, Ed. Rita Patrício y Jerónimo Pizarro. Lisboa: Imprensa Nacional Casa da Moeda.

______ (1986). Obra poética e em prosa, Vol. 3, Ed. António Quadros y Dalila Pereira da Costa. Porto: Lello.

______ (2014). Poèmes français, Ed. P. Ferrari, & P. Quillier. Paris: Éditions de la Différence.

______ (1928). Tábua bibliográfica. Presença, 17. Coimbra: Dez. Disponible en http://arquivopessoa.net/textos/2700

______ (2014). The Transformation Book. Ed. Nuno Ribeiro, & Cláuda Souza. NY: Contra Mundum Press.

Pessoa, F., Jacinto do Prado, C., Lind, G. R. (1966). Páginas de Estética e de Teoria e Crítica Literárias, Ed. Georg Rudolf Lind e Jacinto Prado Coelho. Lisboa: Ed. Ática.

Pessoa, F., Lind, G. R., do Prado Coelho, J. (1996). Páginas Íntimas e de Auto-Interpretação, Ed. Georg Rudolf Lind e Jacinto do Prado Coelho. Lisboa: Edições Ática.

BIBLIOGRAFÍA CRÍTICA

Bakhtine, M. (1970). La poétique de Dostoievski. Paris: Seuil.

Bloom, H. (2002). Pessoa. In Genius. A mosaic of one hundred exemplary creative minds (pp. 442-446). New York: Warner Books.

Bréchon, R. (1996). Étrange étranger : Une Biographie de Fernando Pessoa. Paris: Christian Bourgois.

de Campos, A. (1924-25). Apontamentos para uma estética não-aristotélica. Athena, 3-4, Dic.-Ene. Lisboa.

Dehaene, S. (2008). Les neurones de la lecture. Paris : Odile Jacob.

Deleuze, G. (1993). Critique et clinique. Paris: Éditions de Minuit.

Durand, G. (2008). Fernando Pessoa: a Persistência européia do mito e o reencantamiento da modernidade. Em Portugal. Tesouro oculto da Europa (pp. 115-131). Lisboa: Esquilo.

Freire, L. (2004). Fernando Pessoa: Entre vozes, entre línguas. Da poesia inglesa à poesía portuguesa. Lisboa: Assírio & Alvim.

Gil, J. (1987). Fernando Pessoa ou a metafísica das sensações. Lisboa: Relógio D’Agua.

Gómez Mont Ávalos, F., & Vega Osornio, J. (2017). Fernando Pessoa: Le messager de la conscience. Cahiers Européens de l’Imaginaire, 9. Paris: CNRS.

Huth, A. G., de Heer, W. A., Griffiths, T. L., Theunissen, F. E., Gallant, J. L. (2016). Natural speech reveals the semantic maps that tile human cerebral cortex. Nature, 532(7600), 453-458. doi: 10.1038/nature17637. Disponible en https://gallantlab.org/huth2016/

Jakobson, R. (2007). Os Oxímoros Dialéticos de Fernando Pessoa. Em R. Jakobson. Lingüística, Poética, Cinema, 2da. Edição (pp. 93-118). São Paulo: Perspectiva.

Jennings, H. (2018). Fernando Pessoa, The Poet with Many Faces: a biography and anthology. Ed. Carlos Pittella, Foreword George Monteiro. Providence: Gávea-Brown.

Le Poulichet, S. (1998). Fernando Pessoa. De la sublimación de la nada a la heteronimia. En El arte de vivir en peligro. Del desamparo a la creación (pp. 99-132). Buenos Aires: Nueva Visión, Anthropos.

Lopes, T. R. (1977). Fernando Pessoa et le drame symboliste, héritage et création. Paris: Fundação Calouste Gulbenkian.

Lopes, T. R., Pessoa, F. (1990). Pessoa por Conhecer. Textos para um Novo Mapa. Ed. Teresa Rita. Lisboa: Editorial Estampa.

Nordau, M. (1993). Degeneration (Entartung, 1892). New York: Appleton.

Pessoa, F. (1985). El desconocido de sí mismo. En: Octavio Paz. Cuadrivio, Darío, López Velarde, Pessoa y Cernuda, 5ta. ed. México: Joaquín Mortiz.

Pizarro, J. (2007). Fernando Pessoa: entre génio e loucura. Lisboa: Imprensa Nacional Casa da Moeda.

______ (2013). Fernando Pessoa: Entre el genio y la locura. Aleph, Año XLVII, No. 164. Ene-Mar. Disponible en https://www.academia.edu/3518988/Fernando_Pessoa_entre_el_genio_y_la_locura

______ (2012). Ler Pessoa. Lisboa: Tinta da China.

Prado Coelho, Jacinto do. (1982). Diversidade e Unidade em Fernando Pessoa, 7a. ed. Lisboa: Verbo.

Schoentjes, P. (2001). Poétique de l’ironie. Paris, Seuil, Point Essais.

Seabra, J. A. (1998). Fernando Pessoa ou le Poètodrame. Paris: José Corti.

Tabucchi, A. (1990). Un baule pieno di gente. Scritti su Fernando Pessoa, Quarta edizione, 2019. Milano, Fretinelli.

Vega, J. Jean Seul de Méluret: heterónimo satírico de Fernando Pessoa. Disponible en http://confabulario.eluniversal.com.mx/fernando-pessoa/

Vila Maior, D. (1994). Fernando Pessoa: heteronímia e dialogismo: o contributo de Mikhail Bakhtine. Coimbra: Livraria Almedina.

Anexo 1

Traducción de las sátiras de Jean Seul de Méluret

La carpeta 15 del acervo de Fernando Pessoa en la Biblioteca Nacional de Portugal contiene la mayoría de las sátiras de Jean Seulde Méluret junto a la prosa de su ‘pre-heterónimo’ contemporáneo Alexander Search. Ambas catalogadas como Filosofía, sus obras exploran interfases con la Psicología en temas como la Degeneración, la Decadencia, y la Locura. A continuación incluimos una traducción propia.

El caso del Exhibicionismo

“Aquí, en Lisboa, absortos en ocupaciones que nos alejan, leímos hace unos meses sobre este hecho, que hasta ese día habíamos ignorado: las mujeres desnudas que se exhiben en los music halls de París. Es un olor tan fuerte a decadencia, de una grande y profunda decadencia, que la sorpresa fue más que dolorosa para mí. Pero no había allí, creo, nada de que sorprenderse, puesto que, con las inmensas fuerzas de la decadencia, si hay algo que pueda llamarse una fuerza de decadencia, desencadenadas desde hace mucho tiempo en la civilización moderna, especialmente en Francia, nación que la representa más que cualquier otra, no fue difícil prever que en un corto tiempo se observarían formas más acentuadas, más acentuadas quiero decir, para la visión de la degeneración social […]”.

“Y, sin embargo, cada espíritu, naturalmente, aunque modestamente, enamorada del bien de la humanidad, se durmió voluntariamente, deseando de alguna manera escapar de lo inevitable por ignorancia. Pero esto no podría durar. Estas “formas más acentuadas”, más visibles “de decadencia”, de las que acabo de hablar, deberían presentarse algún día. Ese día llegó, el peligro estaba claro, completamente, no había excusa para el espíritu más modesto en su sinceridad, ya sea para soñar, para tener esperanza o para querer ignorar. Soñar, esperar pasivamente, ignorar voluntariamente, sería cobardía moral, complicidad o por bajeza, o por analogía con la naturaleza. Cuando el sonido de los cañones estalla, cuando el humo de la pólvora se eleva, uno no puede ignorar que la batalla ha comenzado. Abstenerse de participar, negarse a defender a los suyos, sería cobardía pura o traición”.

“Ha estallado ahora la guerra entre la decadencia y la sociedad; que los fuertes y los sanos de espíritu, los lógicos, los coherentes, los pensadores y los sinceros vengan a defender a la humanidad contra el hombre”.

“El propósito de este libro se indica en las líneas anteriores. Es solo una bala en el combate. Pero primero estudiemos, en pocas líneas, la forma que debe tomar esta batalla. Si fuéramos un espíritu grande y fuerte, educado y equilibrado, abordaríamos la cuestión de la degeneración de la civilización occidental, y especialmente de Francia, en toda su magnitud, estudiando todas sus formas, todas sus tendencias, todas sus (...). Estudiaríamos la etiología, los síntomas, la terapéutica; lo haríamos [...] en la medida de lo posible. Un libro así, si se pudiera escribir, sería una obra bella, una obra realmente útil. Pero emprenderlo, no solo para nosotros, sino para muchos que valen más que nosotros, solo resultaría en una obra fallida”.

“Por lo tanto, hemos tomado un solo hecho, el hecho que citamos en las primeras líneas de este prefacio, y del que hemos tratado de deducir el estado de la conciencia y del psiquismo social de los cuales sería solo una manifestación. Aun así, el trabajo no se vuelve fácil. Primero tenemos que demostrar algo que mucha gente no quisiera creer, por verdadero que sea; en segundo lugar, es necesario sacar de este hecho, así iluminado, el significado que tiene como síntoma. Eso ya es mucho. Sin embargo, no estaremos satisfechos si nuestro libro llama un poco la atención, no exclusiva o especialmente, sobre el hecho de que está basado, sino en el estado de la psique colectiva que representa. Lisboa, ___ J [ean] S [eul]”

“Capítulo uno. Decir que hay una perversión sexual llamada exhibicionismo no es nuevo para nadie. Hoy leemos mucho sobre las perversiones sexuales, no porque sean enfermedades, sino porque son perversiones sexuales. Así que espero sorprender solo a unos pocos jóvenes (menores de 9 años) con esta declaración inicial”.

“Decir, continuando, que esta perversión consiste en la necesidad de exposición de los órganos sexuales (los genitales para que se entienda bien) es decir poco, porque a pesar de que existe una perversión sexual llamada exhibicionismo, es posible que no conozca el significado de esta palabra en los diccionarios médicos. Ni siquiera los jóvenes (arriba) cuando escuchan la definición de la palabra, no se quedan asombrados, porque si por casualidad no la conocen, ciertamente tienen la experiencia de la cosa a la que este término se aplica”.

“Ahora, es más que nuestra profunda convicción de que los casos de desnudez pública en las salas de música de París y quizás en otros lugares, porque para el caso es el hecho lo que importa y nada más, son solo caso de exhibicionismo inevitable, enmascarado. Esta creencia parece extraña, pero es solo cuando uno no ha estudiado la enfermedad en cuestión. Para mostrar que los hechos de los que hablamos son solo casos de exhibicionismo, debemos profundizar en este asunto, debemos profundizar, debemos analizar en toda su extensión esta perversión sexual. Eso es lo que haremos”.

“Nuestra civilización muere, especialmente la civilización francesa. ¿De dónde vendrá la próxima civilización? / ¿Será / una civilización germánica, una civilización oriental japonesa? No podemos decir ... (...). En la edición de The Transformation Book, se incluye este fragmento que lleva por título “Fin” en otro apartado”.

“1. Exhibicionismo. I. (Histórico). La primera dificultad que encontramos en el estudio de esta perversión es la necesidad de distinguir entre el verdadero y el falso exhibicionismo. Esta es una dificultad que, sin embargo, no es abrumadora. Si lo pensamos un poco, resulta obvio que el exhibicionismo, en el sentido más amplio de la palabra, aquél que hemos referido en las líneas introductorias de este capítulo, encontramos que se puede considerar bajo aspectos, que se pueden observar en el hecho del exhibicionismo gradualmente: 1) una acción loca, 2) una acción loca de la sexualidad, 3) una acción loca de la sexualidad que consiste en una acción para exhibir. Estas consideraciones producen la clasificación necesaria que nos [aclarará] sobre lo que es el falso y el verdadero exhibicionismo. Porque naturalmente: 1) el caso donde la acción exhibicionista es solo un acto loco (es decir, un caso de locura, en el que el exhibicionismo es un episodio o una parte del delirio); caso donde el acto exhibicionista es un acto demente que forma parte de una excitación sexual general; c) donde la acción [acto] exhibicionista (...)”.

“Exhibicionismo. I. El público. El hecho sumamente serio e importante no es, como podemos ver, los exhibicionismos de las pobres mujeres de los que se ha hablado. Lo que importa es algo que sorprendentemente no asombra, el hecho de que estos exhibicionismos tienen un público, no un público particular, limitado, sino un verdadero público, digno de tal nombre. En ellos, los casos de exhibicionismo que hemos estudiado no son solo casos de exhibicionismo (aunque complicados con el histerismo, como tantos otros que se estudian en libros de medicina, sino que son peculiares (por así decirlo), limitados, los otros, aquéllos con los que hemos tratado, son públicos. Si persisten, es porque el público los aprueba, y esto merece una consideración (por ligera que sea) de este público y de su psicología”.

“Es claro desde el principio que no estamos tratando con un público saludable. Esto no implica ninguna contradicción para una persona sana. Pero hay algunas contradicciones. En cualquier caso, decimos con absoluta sinceridad, si la raza francesa está en decadencia, que la aplasten y rápido. Si, por lo tanto, es la civilización alemana la que debe venir, que venga, incluso arrasándonos. No nos gustan los alemanes, pero no vemos que debamos mentir o hablar oscuramente porque no nos gustan. Unir a Inglaterra contra este otro país sería, en este caso, un crimen ante la naturaleza y hacia la humanidad (de modo que esté ante la ley); porque si Alemania es más fuerte (y nosotros somos un país pequeño) tiene derecho a aplastarnos. Que la multitud más fuerte a los pies de los más débiles, rápidamente, insensible, para que se cumpla la ley eterna de la naturaleza. Extender la vida de los pueblos decadentes con sentimientos es de poca ayuda para la humanidad. Las razas de animales agónicos incapaces de sinceridad, honor y castidad ya no tienen derecho a existir”.

“Francia, ¿está en este caso? ¡Horror! Ella parece estar dando grandes pasos hacia la decadencia. Detenerla en este camino, retenerla. ¿No podemos frenarla? Entonces se acabó. Es necesario, para el bien general, que perezca. ¿Qué, además, en el mundo una raza sin alma, una nación sin corazón? Nada. Si de hecho Francia está en decadencia (ella o cualquier otro país que estará en el mismo caso), yo, hombre de la humanidad, que comprendí hasta entonces la naturaleza, solo tengo una cosa, triste y amarga que desear: que el peuple lo suceden vengan rápidamente a aplastarlo. ¿Brutal? Sin duda. ¿Horrible? ¿Muy horrible, triste, amargo, (...)? Es verdad. Pero es una ley de la naturaleza ... Cualquiera que quiera existir, especialmente una nación, debe tener el derecho de hacerlo. Más aún, un país como Francia, que tiene una enorme influencia en otras naciones, debe ser consciente de ello y ser consciente de la responsabilidad de las naciones civilizadoras. Esta nación entra en decadencia; es importante que salga o que sea aplastada”.

Francia en 1950

“La tasa de natalidad es casi cero, lo cual es muy ventajoso. La mortalidad es tan grande que M., jefe de (...), dijo muy bien que la mayoría de los vivos estaban muertos. Nosotros, las otras naciones, debemos tener cuidado de organizarnos para no ser arrastrados a su caída”.

“Un hombre llamado (...) (quien es gerente de la compañía de seguros “Volupté Surhumaine”, el otro día perdió parte de su testículo izquierdo y descubrió, por lo que antes se llamaba una perversidad, una pérdida placentera, estuvo de moda por algún tiempo perder uno (...) de esta parte del cuerpo, pero, como se informó, es un placer para no ser exagerado. Hoy se estudian muchos grandes hombres, y en los últimos años se han escrito valiosas monografías de los talentos distinguidos de varios escritores ilustres, sin tratar la parte literaria de su trabajo con mayor amplitud que la de determinar cuál sería la longitud de su verga”.

“Francia en 1950 (en francés). Todos los fetichistas pueden objetar “la esposa de un ministro muere por un (...) y el prefecto de la policía se enamoró de un urinal”. En Francia ya no existen claramente las profesiones de hace cincuenta años. Hay ahora algunos grandes grupos de profesionales: los sifilíticos, los tabéticos y los espermatorréticos. Todos los nombres de las cosas han tomado un aire amoroso, como el de la máquina de coser “La Sensual” o el de la máquina de escribir “La Extenuante.” En todas partes, hay imágenes pornográficas. Las damas portan un velo en lugar de un escote que llega a las rodillas. […] Todos tienen un seudónimo, porque esa era la costumbre hace 50 años entre los apaches y otros. Compañía de seguros “La obra de la carne”, (...) En los teatros solo se representa (...)”.

“No hace falta decir que no hay escuelas técnicas, sólo “La Escuela de la Masturbación”, “La Escuela de Sadismo” y algunas otras de la misma especie. […] Las madres fornican con sus hijos, los padres con sus hijas. Ya se aburren de ello. Es muy común. No hay peligro de ser feo porque hay muchas personas a las que les gusta lo feo. Todos escriben libros. Algunos de éstos se limitan a las placas de fotógrafos de criaturas con textos en la parte inferior. Muchas personas se convirtieron en sacerdotes, porque allí el encanto de lo prohibido”.

“Hay templos para las histéricas y las prostitutas, porque éstas son las diosas del pueblo francés. Las estatuas tienen muchos amantes. Mucha gente es muy religiosa. La ciencia se ha convertido en una investigación sexual. Hay profesores de absorción e infanticidio. Los periódicos dicen que los niños de cuatro años se han suicidado porque sus amantes los han abandonado. La mayoría de las personas son fotogénicas. En los teatros, se hacen imágenes en vivo. Nada fuerte, nada real, nada sano, sin embargo, la podredumbre viviente. Se ha encontrado una voluptuosidad extraña, su ejemplo: lisiar a los pobres, torcer sus oídos, (...) Muchas mujeres de ingenio mueren al ver las cosas. El ejército francés no existe, hay un solo hombre sano en el país, y ese hombre es mudo, sordo y ciego. Está sano porque no puede tener una gran relación entre él y el mundo”.

“Las modas son muy (...); Las damas tienen gustos exquisitos, que son, simplemente, la continuación de los de hace 50 años. Hay sombreros (...)tocados de orinal. Vendido por la “Casa a la obra de la carne dorada”, en el Palacio (...) Muchas personas padecen una gran cantidad de especies de locura. (Porque en esto (...) Francia ha sido durante algún tiempo una colonia de Alemania). Abundan las teorías metafísicas, ya que todos tienen una para sí mismos; todas son complicadas, la gente no puede entenderlas. Dedico este artículo a los franceses modernos, a los ‘refinados’, a los ‘buscadores de voluptuosidad’ en (...) Los (...) de locos no están muy llenos; pero es simple, es que insisten en encerrar solo a las personas sanas, que son las anormales”.

“No hay palabra, se prevé, para clasificar la bajeza y la cobardía de estas almas inmundas y burguesas. Un escritor escribe para la humanidad, para sus semejantes, para (...) Alguien dedicado a la corrupción, la voluptuosidad (es su palabra favorita), la pornografía (...); el que arroja la inmundicia de su bajeza a la cara de la humanidad, (...) es un irresponsable, es, (...) un idiota moral que debería ser privado del derecho al voto, y del derecho a participar en asuntos públicos, incluso para disponer de sus propios bienes. […] Odio la prostitución de las calles, pero sé que es peor la de los cerebros. […] La sociedad quiere hacer (...), el progreso, y es triste que los degenerados vengan a poner (...) a (...) ¡Vergüenza para quien se divierta y ría con esta sátira! […] ¡Deshonra para quien se ría!”

“No faltará el idiota que piense que esta sátira es indecente e inmoral. Sería propio de un idiota pensar así; porque los más grandes hombres de ciencia ahora han reconocido y comprendido este hecho, que los idiotas piensan tontamente y que hacen cosas tontas. En esta sátira hay una grosería inmensa, muy conscientemente deseada. La literatura de los onanistas morales, personas sin sentido moral, de los (…) cuya literatura aumenta. La ley de no poder hacer nada. Fin”.

“Visité el otro día una escuela de niñas. El nombre de la escuela es “Instituto sin himen”. Fue fundado, según me dicen, por una Benemérita que había tenido 14,000 amantes y que murió, como parece por su devoción. Las chicas de este internado están muy bien educadas. Aprenden tantos vicios como sea posible, y es realmente encantador ver cuán fácilmente las queridas pollas los aprenden. Los castigos, es cierto, no son muy ligeros; por ejemplo, ¡una niña que gritó un poco porque otro empleado por algún acto de sadismo fue condenado por un consejo de maestros a tener solo 3 amantes (hombres) y 6 amantes (mujeres) y a ponerse una ropa para dejar entrever solo la parte superior del cuerpo! Es horrible. Otra fue castigada (...) Estos castigos generaron una gran indignación pública y hubo una huelga de trabajadores del correo. La Sra. Jérébite Jaudasamier fue encarcelada porque, según se dice, ella cometió el delito de pudor, habiéndose, según se dice, sonrojado por causa de un hombre y cinco mujeres que yacían en el pavimento. Ella negó su crimen. (...) Señorita. Fue sentenciada a 4 días de castidad por negarse a entregarse a sus dos hijos al mismo tiempo. El Sr. [...] estaba en la corte porque a su hija, que ya tenía 2 días, todavía no la había violado. El Sr. y la Sra. fueron sentenciados a besarse sólo una hora y media por cometer el acto sexual a la manera antigua. Cuando salieron de la corte, la gente se manifestaba violentamente y escuchamos expresiones sobre ellos como “gente virtuosa”, e incluso, nos da vergüenza escribir, “púdicas”. El crimen, según lo que se dice, ha disminuido considerablemente; sólo se constata un crimen en caso de atentado a la indecencia. Aquí no hay personas normales, lo que hay son personas dos veces anormales, sexuales dos veces invertidos, de manera que han vuelto a la normalidad. Incluso conozco a un caballero que nos parece muy normal, pero que, de acuerdo con lo que se dice, es 4 veces anormal. Como 2 negativos hacen positivo, todas estas personas (...) El otro día fue encarcelado un tal Sr. “Acostado-en-la-cama-de-4-mujeres Giraud”; su crimen fue el abstenerse de cometer el incesto. Él se (...) afirmando con orgullo que toda la humanidad era su hermana, que todas las mujeres eran sus hermanas y, por lo tanto, que, si se acostaba con cualquier mujer, se acostaba con su hermana”.

Señores proxenetas

Sátira francesa dedicada al tiempo. Querido y estimado maestro: No es que Francia me disguste más que otros países; para mí, todos los países son lo mismo. Lo que no me gusta es la corrupción y la decadencia. No me importa qué sistema de sociedad tenga la gente, o cuál sea su forma de pensar; lo que no acepto es que el sistema sea el de los proxenetas y la forma de pensar la de los idiotas y los imbéciles. […] Por otra parte, MM. Du Saussay y la Sra. Jane the Vandere, continuarán escribiendo sus novelas, sus poemas en prosa (donde no hay poesía, ni prosa digna de ese nombre), sus estudios de modales de este o aquel país, de cualquier a qué hora, sabemos que solo hay (...) No puedo evitarlos; (...) ¡Basta de lamentarse! ¡La decadencia ha llegado! Es el reinado de los proxenetas y las prostitutas porque hoy en día incluso estas personas escriben libros. […] El hombre que viola a una niña es encarcelado, mientras que aquel que provoca el crimen en los cerebros enfermos, la masturbación en los cerebros jóvenes y la perversión en los cerebros débiles, no se le castiga, se le llama autor e incluso artista. Que la ley sea justa para todos. Si el pueblo francés acepta estos escritos, estas novelas, estos cuentos, si van éstos de acuerdo con su carácter, entonces es un pueblo perdido, un pueblo enfermo. Los proxenetas son admirados sólo por otros proxenetas. Pobre pueblo que fue uno de los más grandes sobre la Tierra […]”.

“Estos caballeros harán bien en poner al final de sus trabajos las direcciones respectivas, las indicaciones para encontrar las casas competentes de las niñas. No es necesario agregar la importancia de la comisión que ganan, puede permanecer en secreto. Para que sus trabajos sean más interesantes (porque ahora son muy estúpidos), estos caballeros pueden cruzar el texto con anuncios de gránulos contra la impotencia, (...) para orinar y sífilis, jeringas vaginales, etc. En cuanto a los editores y editores de imágenes de desnudos (estudio académico, etc.) - arte, creo que lo llaman (...) ¡Deja de gemir! ¡La decadencia ha llegado! Es el reinado de proxenetas y prostitutas porque hoy incluso estas personas escriben libros. Duelo. No hay daño con revólveres. “Virgen en la noche de bodas” y con balas “Cupido naciente”. El único efecto fue más la mortalidad de uno de los luchadores que usó solo la (...) “coqueta” cosa pequeña”.

“El hombre que viola a una niña es encarcelado; al que provoca el crimen en los cerebros enfermos, en los cerebros jóvenes el espíritu del que proviene la masturbación, en los cerebros débiles las perversiones y (...) al que así se lleva en proxeneta, duplicado de (...) uno no hacer nada, a veces lo admiramos, se le llama autor, artista mismo. Que la ley sea justa para todos. Si los franceses encuentran bien estos escritos, si estas novelas, estos cuentos, estos (...) son agradables para su personaje, es un pueblo perdido, un pueblo enfermo. Los proxenetas solo son admirados por otros proxenetas. La gente pobre que era una de las mejores del mundo”. (...)

“Almas bajas, mezquinas y sin (...) que nunca piensan en el mal que pueden hacer, el efecto de sus obras en la humanidad o, al menos, en esta parte, ya sea pequeña, de la humanidad que los lee. Escribir cosas que pueden dañar a otros, que pueden lastimarlos es un delito. Estas personas desafortunadas lanzadas por la ironía a la literatura, cuando su lugar está en los burdeles, estas pobres almas perdidas de los ‘proxenetas’ intelectualizados que encuentran conveniente provocar el vicio, multiplicar con todas sus fuerzas la desgracia... ¿Dónde la palabra violenta que les conviene, dónde el nombre que no sea demasiado débil para la bajeza de su existencia menos que inútil?”

“¡Hasta hoy no se había observado que entre los muchos (adornos) de carácter e inteligencia que generalmente aparecen en las mentes de las prostitutas y los proxenetas, uno (...) el de escribir libros! ¡Deje que el público tome nota! Es una nueva manifestación del talento de los proxenetas. Hay que decir algo. Los libros no faltan. Será sobre el primero en llegar. Aquí está, es el (...). No; no será (este). Ah, bueno, muy bien, será este libro para esta semana, del Sr. Victorien de Saussay. Comencemos por el principio. La (capa) es un diseño, bastante bien hecho (...) La segunda página nos presenta algo interesante, es la lista de obras de M. de Saussay: Aquí está, (...). Si el francés fuera un pueblo que se respetara a sí mismo, esta lista sería suficiente para arrojar al autor de las obras mencionadas fuera de la sociedad (...)”.

“¿Es esto Francia? No, es un pobre pueblo. El epitafio estará escrito sobre su tumba. La lápida será escrita sobre su tumba. La piedra estará hecha de / capas / de estos libros y sobre ella en letras de mierda escrito por el tiempo algo más o menos así: “Aquí yace el pueblo francés”. Por convertirse en un pueblo de proxenetas, no pudo mantenerse a sí mismo. Si MM. Du Saussay etc. son autores de estos libros como artistas o escritores, están locos. Si los escriben por dinero, o incluso para ganarse la vida, es necesario decirles que hay formas de ganar el pan que deshonran. Si MM. Du Saussay, etc. son autores de estos libros por el dinero, si aceptan un peso que es la ganancia de su venta, ellos son, directamente, proxenetas”.

“La Literatura de los Proxenetas. Un libro que puede ser entendido por el cerebro y la médula espinal. La forma de tu estatua a veces es hermosa, lo admito. ¿Pero por qué embarrar tu estatua en con mierda? Los corazones rezan. Las almas se propagan y están podridas. La muerte de una sociedad es más horrible que la muerte de un organismo individual. La sociedad podrida (se descompone) en vida”.

“No es suficiente que en la mierda de nuestra existencia siempre estemos frente a la podredumbre; no, MM. Los Proxenetas la recogen y nos la ofrecen confeccionada por ellos. (Para los sanos, inútil: sabemos que no comemos eso. (...) Probablemente conozcas esta historia de (...) quien solía acomodar cada mañana su excremento en orden de tamaño del paquete. Es un caso verdadero, y sin embargo, me pregunto si este hombre tenía alguna idea en su mente de ser un símbolo. Sí, lo pienso, porque es el emblema más llamativo de la obra MM los Proxenetas literarios”.

“La sociedad enferma y estúpida recoge sus propios excrementos, les da formas artísticas y los presenta ante ellos; las heces (lo entiendes) son las pasiones bajas y degeneradas de los proxenetas y las prostitutas, mojones, etc., son las formas literarias, artísticas y dramáticas que se les dan. “¿Pero, les damos a los Proxenetas? ¡Oh! Señores Proxenetas, éstos son los instrumentos, por lo tanto, son las manos de la sociedad las que así se divierten. “Sí; y el tipo que se entretenía estaba ensuciándose las manos, sin duda. Así es y por eso digo (...) La sociedad íntimamente (como el tipo en cuestión) está enferma, pero especialmente las manos están sucias. Es precisamente el símbolo de las manos sucias lo que hace a los proxenetas literarios artistas viles”.

“Este folleto está escrito con toda sinceridad y no está hecho para reír. Debe haber excremento en la sociedad, pero no es necesario que se permita que el excremento perfume todo. El excremento es la literatura que abunda hoy. Si, además, el pueblo francés logra percibir la podredumbre. (...) El cuadro de la decadencia de un pueblo en degeneración no importa (nunca). Mater Natura, ¡Fiat Voluntas tua!”

“Como socialista, protesto contra la invasión al medio social, a la humanidad que deseamos desarrollar, desde esta infamia en los libros, de esta basura impresa. Como socialista, dibujo todas las formas de mi alma contra los degenerados egoístas, (...) incapaces de un pensamiento coherente y un verdadero razonamiento. La humanidad, al menos nuestra civilización, ya está enferma; es necesario luchar duro, sinceramente con todas las fuerzas de lo que se llama el alma para disminuir el mal. Los delitos contra la moral pública son siempre muy graves, incluso cuando no hay moral pública; son más peligrosos que los delitos políticos”.

“Se puede entender, además, como algo medio razonable, el crimen político anarquista (...) Por ejemplo, nada más comprensible que el asesinato del rey Carlos de Portugal. Pero hay muchas cosas que lo disculpan. Las expectativas a la moral no tienen excusa posible; no es el espíritu revolucionario (porque uno se rebela sólo contra el mal), no lo es (...). Es el individualismo opresivo. Sí, por eso lucho contra todas las manifestaciones de suciedad y erotismo en la literatura, en el teatro, en todas partes. Sí, porque por mucho que odie al hombre celador, lo que hace matar y deshonrar, tanto detesto la sensualidad literaria, como al hombre que encarcela a los demás y la bajeza del alma que mata el espíritu de elevación, que los deshonra por el toque degradante de su mentalidad sucia y estúpida. Odio el sensualismo literario porque es una expectativa de libertad individual, y amo y respeto más que cualquier otra cosa, la libertad debida a todos. Si el hombre fuera libre, sería bueno; no siendo así, el erotismo literario es un delito grave. No estando loco, no les pido a los Proxenetas que razonen. La libertad (como lo he demostrado en otra parte) consiste en tres cosas: nacer, seguir viviendo, por lo cual uno no puede, incluso sin dolor, matar a alguien. 2o vivir sin dolor, por lo cual no puedes lastimar, causar dolor a alguien. 3o vivir, desarrollar más de (...) ¿Tenía grandes hombres sensuales? Es cierto, pero no eran geniales en su sensualidad sino en su grandeza. Shakespeare no es (...) que la violación de Lucrecia. (cita Pascal) - La verdad es que a las pequeñas mentes siempre les gusta ver que se parecen a las grandes en algún lugar si esta noche solo se hace desde atrás. Pascal dijo que es fácil ser sensual como fácil caerse de un precipicio. Simplemente hay que tomarse de las manos. ¿Qué caracteriza al crimen de opresión política? ¿En qué consiste? ¿En la efusión de la personalidad, en la imposición antisocial de la fuerza psíquica, en el (...)? Este caso no difiere de aquél. Un hombre que escribe eróticamente sigue su sentimiento sensual; un tirano sigue su sentimiento de dominación. Ambos son egoístas, desigualmente peligrosos, dependiendo de las condiciones y la forma en que viven. Pero no es el dictador o el rey absoluto el que siempre es más peligroso”.

“Me han dicho que hay personas que tienen ideas socialistas y que escriben libros más o menos inmorales. No puede ser. Las ideas anarquistas o socialistas, creo, porque el anarquismo es la expresión egoísta e individual del sentimiento de revuelta, esto en el mejor de los casos. ¿Socialista es inmoral? No. Loco, puede ser, o imbécil o infame. La democracia es el orden, el socialismo y la glorificación de la ley, es la nueva ley, igualitaria y liberal en la medida de lo posible. Por lo tanto, no puede haber un cerebro bien equilibrado en el que se mezclen ideas tan antagónicas como el socialismo y la inmoralidad. Lo mejor que se puede decir es que un hombre puede ser sinceramente socialista y, al mismo tiempo, tener un temperamento sensual. Bien. Que sea sensual en casa y no en los libros. Ser sensual no es un crimen; ser inmoral, es decir, escribir sensualmente, públicamente es un crimen, tanto más grave como la inteligencia del escritor es mayor. Fin”.

“Pero este es el estado actual de las cosas que imbéciles como el Sr. (...) e idiotas incurables como (...) (sin mencionar a algunas personas del otro sexo, a juzgar por los nombres): tal es el estado de cosas por el que estos débiles mentales tienen una clientela literaria, un público propio”.

“¡Honor a ellos, pobres proxenetas! ¡Gloria a sus espíritus! La degeneración crece y nadie lo nota (...) para hacer las piedras de sus tumbas, la gran tumba de su país; y en esta tumba, la Historia escribirá en letras de mierda el epitafio que les convenga. Pero este epitafio la historia lo encontrará. Pero yo no puedo encontrarlo. No hay palabras o combinaciones de palabras que puedan expresar la furia del desdén, la justicia y la profunda aversión. ¡Honor a los proxenetas! Paz para (...) Gloria a quienes prostituyen a su especie. Si alguien tacha de prostituta a su mujer, a su hija, a su hermana, ¿qué pasa si alguien trata de prostituir a la humanidad? La humanidad es más que mujer, hija, hermana”.

“Yo que escribo estoy loco (...) ¿Son artistas? No. El arte no tiene nada que ver con la moralidad; por lo tanto, no tiene nada que ver con el mal o el bien, sino solo con la perfección. El arte no debe ser ni bueno ni malo, porque todavía es una estupidez de estos proxenetas decir que el arte no tiene nada que ver con la moral, tanto al no ver que no tiene nada que ver con la inmoralidad. ¿Son artistas? No, repito, no. ¿Son pensadores? No. Sabemos hoy que lo que caracteriza a los pensadores es pensar; estos nunca piensan”.

“Sí, el carácter más repugnante de estas obras es que son terriblemente burguesas. Un hombre que blasfema es religioso; el irreligioso no blasfema, no ve ningún valor en la religión y, por lo tanto, no lo ataca blasfemando. El erótico pervertido y el hiperexcitado sexual son muy burgueses, porque el carácter de pervertido y de hiperexcitado no elimina el de la excitación externa o sexual, y sabemos que el burgués es esencialmente erótico. ¿Para impresionar a los burgueses? ¡Qué buen burgués es este Théophile Gautier! Pero somos jóvenes, exclaman estos grandes autores, somos jóvenes excepto aquéllos que no son jóvenes. Es lo mismo que si le preguntara a un vagabundo que tira inmundicia a los transeúntes: “¿Por qué haces esto?” Y él me respondiera: “Como soy joven, puedo agacharme y, en consecuencia, recoger la inmundicia y, por lo tanto, lanzarla a la gente”. Es lo mismo, absolutamente. Personalmente, sin embargo, prefiero que me lancen la inmundicia”.

“La política desastrosa (anarquismo y capitalismo), el arte de los proxenetas (realismo, naturalismo, (...), la religión de (...) esperan a la pobre humanidad en su camino hacia el futuro. Gracias a ellos, llegará allí muy sucia. Porque me imagino a los tres en el camino, recogiendo lo que está a su paso y gritando, una “te lanzo la libertad”, el otro, “aquí está la belleza”, la otra “aquí está el bien”. Y eso es lo que están recogiendo en los caminos. ¡Fangoso, en nombre del hombre! ¡Inmundicia, en nombre de la libertad! ¡En nombre de Dios, mierda! El arte - ah, el arte y la belleza - estas son dos cosas muy bellas; el burgués no los conoce. Un poeta burgués es sólo un burgués. No es tan burgués decir que no lo es, para (...). Por ejemplo, debajo de una caricatura de un Señor Josset, leí esto: “el burgués (...) por bondad (...) no”. He leído la mayor cantidad de caricaturas de esta M. y, de hecho, encuentro algo análogo. Sólo comprendo por qué el tal Josset no quiere admitir que los burgueses piensan bien y es que él no quiere ser burgués. Porque sería interesante saber dónde está lo peor del Señor Josset”.

“El lector habrá notado un poco escandalizado y (...) que incesantemente uso términos sucios, como el de inmundicia, el de mierda, etc. Estas expresiones son inevitables. Es extraño que cuando escribo sobre estos autores solo pienso en cosas sucias. No puedo pensar en estos MM. sin pensar en mierda e inmundicia. Desde el momento en que mi pensamiento se dirige a estos MM, (...) encuentra inmediatamente mierda, inmundicia, suciedad. Es un fenómeno de asociación de ideas sobre el cual llamo la atención de las personas competentes. No es mi costumbre pensar suciamente, ni (...), pero la asociación de ideas es tan fuerte que no puedo evitar pensar de esa manera”.

“Un (...) nauseabundo se propaga de estas mentes podridas, de esta bajeza de almas. Los gabinetes secretos tienen una válvula con agua para limpiar, las sentinas de estos corazones ni siquiera tienen eso o, si lo tienen, hace tiempo que están rotas. Hay desinfectantes que pueden limpiar las tuberías, etc. pero para la inmundicia de estas almas, no hay desinfectante moral. Además, los escritores que se hacen llamar modernos y que son los más grandes, quedan impresionados por (...). Nada de sano en ellos. Tienen irritabilidad amorosa. Su socialismo no está hecho ni de amor ni de lástima, sino de revuelta inconsciente, del espíritu de contradicción que, lejos de ser grande, es pequeño entre los idiotas”.

“Su anarquismo, lo que llaman su espíritu de revuelta, no nace (...) sino sólo de la irritabilidad de los degenerados y de su débil deseo de sobresalir e impresionar lo normal. Es locura pura. Alrededor de esta alma central de la extraña composición de bajeza, mente estrecha, superstición sin religión, deriva sin pensamiento, inspiración sin ideas, las facultades individuales se agrupan. No tienen religión; No los culpo, yo tampoco tengo ninguna (religión propiamente dicha). Pero casi todos tienen superstición. Y si son irreligiosos, tengan cuidado de creer que sea por la fuerza de la razón; no, ninguno de ellos puede razonar; ni por indignación, ninguno de ellos sabe amar, y cuando quieren sentir lástima muestran una característica lloriqueante del degenerado inferior”.

“Se ha dicho: “El hombre es la naturaleza consciente de sí mismo”. Podemos aplicar aquí el símil: estos autores, esta sociedad es la inmundicia tomando consciencia de sí misma. La naturaleza consciente dice “yo naturaleza soy grande”. La mierda se convirtió (...) dice “yo, artista, yo, hombre de sociedad, ¡soy grande! La naturaleza disfruta de sí misma, de su existencia en el hombre, ignorante de su bajeza. La inmundicia se justa y se complace. Calígula, lo sabemos, caballo o curial, pero él sigue siendo un caballo pobre y simple”.

“Me abstengo por completo de considerar las obras de la Señora Jeanne La Vaudère. (No puedo decir más). “Tanto el criminal impulsivo y rebelde como el inmoral e imaginativo literario son criminales natos”. Fin. Conocemos la definición de libertad dada por este sacerdote de no sé dónde: “No quiero que me molesten”. Eso es lo que el pueblo francés debería decir en plural, a menos que no estuviera ya en la mierda. Pero este es el grito: “No quiero que me molesten”.

“Pensar es difícil; soñar de ninguna manera. Soñamos incluso cuando dormimos. Reformar a la humanidad es muy difícil. La (...) es muy fácil. Es fácil, por ejemplo, dejar que la comida se pudra, sólo hay que dejarla pudrir. Conservarla, esa es la dificultad. Todavía no está probado que la comida se mantenga más en las letrinas. Se dice, por ejemplo, que es malo llamar al Sr. Maeterlinck idiota. No es algo malo en absoluto. Porque sería malo (...) si fuera posible que dicho Sr. logrará creerlo y sufrirlo. Pero, por la naturaleza de la cosa misma, es imposible. Porque si, por ejemplo, le dije a un burro: “Eres un burro”, jamás dicho burro lo creería. No quiero profundizar en la razón”.

“Por cierto, voy a contarles una historia bonita, que puede ser una fábula o un símbolo. Sucedió en cualquier pueblo de cualquier país. Ni el país ni el pueblo tienen nada que ver con el asunto. Un buen hombre local había invitado a un amigo de la ciudad por unos días. Éste llegó, en la mañana el anfitrión le preguntó si había pasado bien la noche. “No”, respondió el viajero, “no sé por qué, pero no dormí en absoluto”. El anfitrión estaba asombrado; ninguno de los dos pudo encontrar la razón de este insomnio. Las dos mañanas siguientes la misma pregunta del anfitrión, la misma respuesta del invitado; el insomnio continuó. El caso hizo pensar al buen hombre de provincia; se dispuso a resolverlo. Tomó una bacinica llena de inmundicia y la colocó en una esquina del departamento”.

“Algo familiar, (...) en la atmósfera, ¿no?” “Eso es, eso es. Siento que estoy en la ciudad. Yo le pregunto al pueblo francés: ¿Qué significa este símbolo? También le pregunto al pueblo francés (...) El viajero de esta historia ¿a qué pueblo se parece? Si pudiera golpear más fuerte, golpearía. Fin.

Nubes en las sátiras de Jean Seul de Méluret [Traducción propia]

Redes semánticas en las sátiras en francés de Jean Seul de Méluret

Análisis de sentimientos en las sátiras de Jean Seul de Méluret

Anexo 2

Creación poética de inspiración meluretiana [Poema bilingüe]

I sing the Body Eclectic

By Bernardo Carneiro

Rhythms of vitality forces of desire Portuguese buildings christian coffins Marvel stenchy miracles spread Christ and kant persist in serenity Ascetic rousseau rotten demons Skeptic hegel quicksand analogies Solid coldness urn of voltaire Rna genes foxnews fakememes Taxing lamps regretting miracles Balcony masks revolver bananas Drunkeness stagnation puddles of chaos Animal devils ruleless worlds Jealous pyramids stoic sylphs Millionaire madness foam pyjamas

Porcelain humanitarianism diagonal personalities Ambicious metaphors fatigue of heroes Stoic jealous madmen lovers in miasmas Composite tragedy dead virgins

Drunk Soares marches to chaos Autobiography of an emperor of alcohol Wise vision disgracing passion Whispering masks of whimsical tramps Insane promises of soft earthquakes Orphan emperor soares smokes Dreamer of rebirths in wings of wit Riddles of consciousness in imaginary willpower Rainy christian portuguese sweethearts

French syntax velvet needlework Loathing city dung Verlaine Vertigo of poodles of alcoholic tragedies Boring unawareness of ironic degeneration Hatred jealousy gloom lies Stoic madmen body of nacre Restless witches joys of madness Labyrinths of sin in ultimate unawareness Reveries evasions hate nothingness Major extinctions spreads stench *

Olas de noticias sin plegarias bondadosas Naciones fugitivas divinidades venenosas Reyezuelos ridículos historia febril Sacerdotes magos conquistadores de sirenas Escaleras de injusticias orgías de dudas Reclusos del tedio millones en ruina Coronas y virus terrorismo sanitario

Poetas nostálgicos de inspiración disciplinada Artistas encantadores de identidad autoespectadores Esclavos de verdades de tactilidades literarias Escritores oceanicos argonautas de heridas Novelas laberintos madejas de alma Visiones apolíneas pasiones desgraciadas Lunas de terciopelo sintaxis francófonas

Mismidad azarosa imaginada ilusión Aristócratas interoceptivos genios en criticalidad Degeneradas pesadillas novias románticas Mado Minty Ofelia Queiroz Amantes plenos horas espirales Suicidas vanidosos inmortalidades místicas Inmensos intereses lisboetas exiliados

Ritmos primigenios catedrales cafés Cambios revolucionarios singulares caídas Analogías de otredad cenizas perceptuales Degeneración aburrimiento escepticismo vampiresco Esfinges distraídas corazones ausentes

Escritores tristes burócratas hambrientos Tiranía de nicotina en empleados llorosos Fumadores peatonales misteriosas mismidades Destinos animales épicos humanos Sinfonías metafísicas horrores periodísticos Tabaquismos peatonales mismidad de misteriosos

Juegos complejos pigmeos cronometrados Peluqueros moralistas diaristas asquerosos Saudadosos viajes pesimistas rutas Cementerios de barcos lodos de luz Fuma soares emperador huérfano Ruidosa galicia inevitablemente cercana

Nota explicativa del poema “I sing the body eclectic”:

El 95% de estos pares de palabras fueron seleccionados por su vecindad estadística en las redes semánticas del Libro del Desasosiego del semi-heterónimo de Fernando Pessoa: Bernardo Soares. Solo se agregaron algunos pares como “coronas de virus” y “terrorismo sanitario” como un intento de dar un sentido de actualidad al texto y nada tienen que ver con Pessoa.

Visto así, este es un texto híbrido a cuatro voces: la primera voz son las 130 mil palabras del Libro del Desasosiego en portugués; la segunda es la del traductor al inglés Richard Zenith; la tercera es la de los algoritmos de inteligencia artificial estadísticos que calculan la frecuencia de proximidad entre palabras. La cuarta es la nuestra en dos sentidos, en la selección de las palabras ejemplificadas y la inclusión de otras palabras (menos del 5%) que intentan darle actualidad. Las redes semánticas no incluyen verbos, únicamente sustantivos y adjetivos.

Le agradecemos profundamente a Mónica Gerber esta comunicación en respuesta a este intento nuestro de generar textos que implique colaboración entre la creatividad de la inteligencia humana y la ingeniería lingüística/inteligencia artificial. Este diálogo se dio en el Diplomado en Neurociencia, Arte y Cultura del programa ACT de la UNAM con la Secretaria de Cultura de México:

“Se me vienen a mi cabeza leyendo este poema, el manifiesto de la literatura futurista, por ejemplo, cuyos resultados comparten cierto ánimo aguerrido con el poema el trabajo de Oulipo, cuyos experimentos parecieran dialogar también con tu poema. En ambos casos (Futurismo y Oulipo) siempre parece que “algo falta” porque hay una o varias reglas que determinan lo que puede suceder en el proceso de escritura de un texto. En el poema es muy evidente que no hay verbos, por mencionar una característica... ¿Porque no tiene verbos? ¿Qué dice ese gesto? Entonces pensaba que, tal vez, esa será una forma de convertir este poema en un proyecto de alto aliento: diseñando una serie de reglas que delimiten la forma de los textos en busca de un sentido o concepto en particular, incluso podrían diseñar reglas de escritura para cada un@ de tus heteronimos” (Mónica Gerber).